Kemiskinan merupakan masalah utama bagi banyak negara di dunia, kondisi dimana seseorang yang tidak dapat memenuhi kebutuhan dasar seperti makanan, pakaian, obat-obatan dan tempat tinggal. Penanggulangan kemiskinan menjadi sasaran utama program pembangunan sesuai dengan pengarusutamaan agenda Millenium Development Goals (MDGs) dan Sustainable Development Goals (SDGs) dalam Rencana Pembangunan Jangka Panjang Nasional (RPJPN 2005-2025). Program penanggulangan kemiskinan yang digulirkan pemerintah telah berhasil menurunkan persentase angka kemiskinan, meskipun secara nominal jumlah penduduk miskin masih cukup tinggi. Pembangunan pada hakikatnya merupakan suatu proses yang berkesinambungan antara berbagai dimensi, baik dimensi sosial, ekonomi, maupun lingkungan yang bertujuan untuk kesejahteraan masyarakat. Ukuran kondisi sosial dan ekonomi masyarakat (kemiskinan) masuk kedalam penilaian keberhasilan pembangunan, metode integrasi data atribut kemiskinan dengan peta wilayah dapat memvisualkan sebaran penduduk miskin disuatu daerah. Data kemiskinan yang tersedia disajikan dalam dua model data, yaitu data kemiskinan makro dan data kemiskinan mikro. Guna mendapatkan kesetaran spasial, visualisasi disajikan dalam unit wilayah kabupaten/kota seluruh Provinsi Jawa Barat yang dikemas dalam WebGIS sehingga memungkinkan informasi dapat diakses secara mudah bagi yang memerlukan. Informasi penilaian spasial sebaran penduduk miskin dan keberhasilan program penanganannya dapat diakses melalui https://jabar.netlify.app/.
Kemiskinan juga sebagai salah satu ukuran kondisi sosial dan ekonomi dalam menilai keberhasilan pembangunan pemerintah di suatu daerah (Priseptian dan Primandhana, 2022). Kemiskinan menjadi masalah yang serius di masa keterpurukan ekonomi akibat pandemi Covid-19, kondisi perekonomian yang turun menyebabkan meningkatnya angka kemiskinan di Indonesia. Berdasarkan data Badan Pusat Statistik (2020), persentase penduduk miskin di Indonesia mengalami kenaikan pada tahun 2020 yaitu sebesar 9,78 persen pada semester 1 dan mengalami kenaikan kembali pada semester 2 sebesar 10,19 persen. Melonjaknya persentase penduduk miskin di Indonesia salah satunya disebabkan oleh terjadinya pandemi Covid-19. Menurut Topcu (2022), Pandemi Covid-19 yang melanda secara tidak langsung menghambat usaha pemberantasan kemiskinan secara global. Persentase penduduk miskin di Jawa Barat tercatat sebesar 8,4 persen (BPS, 2021), yang merupakan provinsi dengan tingkat kemiskinan terendah di Indonesia. Apabila dilihat data kependudukan secara absolut jumlah penduduk miskin di provinsi Jawa Barat berada pada urutan ke-2 terbanyak nasional yaitu 4,2 juta jiwa dan menjadikan Provinsi Jawa Barat sebagai salah satu wilayah dengan kemiskinan yang tinggi di Indonesia.
Faktor fisik dan lingkungan suatu tempat dikenali berdasarkan site dan situation, site adalah semua sifat atau karakter internal dari suatu daerah tertentu, termasuk di dalamnya adalah ukuran (size), bentuk, topografi dan semua keadaan fisik. Sedangkan yang dimaksud dengan situasi (situation) ialah yang berkenaan dengan sifat-sifat eksternalnya. Situasi suatu tempat berkaitan erat dengan relasi tempat itu dengan tempat-tempat di sekitarnya pada suatu ruang geografi yang sama. Termasuk dalam pengertian situasi adalah aksesibilitas/ kemudahan mencapai infrastruktur pendukung, tersedianya sarana dan prasarana seperti jaringan transportasi, listrik, air minum dan sebagainya. Secara topografi wilayah Provinsi Jawa Barat Bagian Selatan, minim jaringan jalan dengan kondisi topografi berrelief, mengakibatkan Wilayah Jawa Barat Bagian Selatan denyut ekonominya tertinggal jauh dari wilayah tengah dan utara. Jaringan jalan di wilayah bagian selatan sangat sedikit (±28,45%) dibanding wilayah bagian utara dan tengah (±71,55%) kondisi ini sangat berpengaruh terhadap mobilitas penduduk. Sebaran penduduk di wilayah utara dan tengah 73% dengan kepadatan 57 penduduk/ha, di selatan berpenduduk 27% dengan kepadatan 6 penduduk/ha (Riadi dan Munajati, 2015).
Integrasi data tabuler (data sekunder) yang diperoleh dari BPS dan Kementerian Desa dengan data spasial dari BIG akan dijadikan dasar dalam melakukan penilaian spasial sebaran pendududuk miskin di Provinsi Jawa Barat. Data kemiskinan yang diperoleh dari BPS, dengan penilaian bahwa kemiskinan dipandang sebagai ketidakmampuan dari sisi ekonomi untuk memenuhi kebutuhan dasar makanan dan bukan makanan yang diukur dari sisi pengeluaran. Penduduk dikategorikan sebagai penduduk miskin jika memiliki rata-rata pengeluaran per kapita per bulan di bawah garis kemiskinan. Pembangunan Desa mengalami transformasi dengan memberikan pengakuan dan delegasi kewenangan kepada masyarakat desa untuk mengelola dan menyelenggarakan urusannya secara otonom. Otonomi desa meliputi aspek self governing community sesuai hak asal usul dan aspek local self government, artinya memberikan pengakuan dan penyerahan kekuasaan berskala desa, yang memberikan kewenangan luas kepada desa di bidang penyelenggaraan pemerintahan desa, pelaksanaan pembangunan desa, pembinaan kemasyarakatan desa, dan pemberdayaan masyarakat desa berdasarkan prakarsa masyarakat, hak asal usul, dan adat istiadat desa. IDM merupakan indeks komposit yang dibentuk berdasarkan tiga indeks, yaitu Indeks Ketahanan Sosial, Indeks Ketahanan Ekonomi dan Indeks Ketahanan Ekologi/Lingkungan (Kemendesa, 2019). Dimensi Ketahanan ekonomi yang membentuk IDM meliputi produksi desa, akses distribusi, akses perdagangan, akses lembaga keuangan, lembaga ekonomi dan keterbukaan terhadap perdagangan. Dimensi ketahanan ekonomi sangat berhubungan dengan perputaran uang dan pemerataan pendapatan di desa. Keseluruhan aspek dari dimensi ketahanan ekonomi mencerminkan peningkatan pembangunan desa yang akan berarti dapat meningkatkan ekonomi masyarakat desa.
Sistem informasi geografis (SIG) adalah metode yang tepat untuk pemetaan suatu daerah, dengan cakupan daerah studi yang luas dapat dilakukan analisis yang dengan waktu relatif singkat. Metode sistem informasi geografi (SIG) diharapkan akan mempermudah penyajian informasi spasial sebaran penduduk miskin di suatu wilayah provinsi. WebGIS sebagai sebuah aplikasi Sistem Informasi Geografis berbasis online yang merupakan gabungan dari web standar dan web pemetaan. WebGIS banyak digunakan untuk mempublikasikan informasi spasial berbasis peta. Oleh karena itu dalam penelitian ini akan memanfaatkan webGIS untuk melakukan pemodelan sistem informasi spasial sebaran penduduk miskin. Dalam penelitian ini, webGIS dikembangkan menggunakan sistem data geospasial berbasis file yaitu file dengan format GeoJSON. Data tersebut dikirim ke user untuk ditampilkan di internet menggunakan perangkat lunak OpenLayers. Data geospasial yang digunakan merupakan hasil dari pengolahan data yang sudah berbentuk data shapefile yang dikonversi menjadi data GeoJSON.
Ruang lingkup penelitian ini dilakukan dalam tiga hal. Pertama, melakukan studi literatur mengenai konsep kemiskinan dan metode pembangunan masyarakat desa, pengumpulan data dari Badan Pusat Statistik (BPS) dan Kementerian Desa Pembangunan Daerah Tertinggal dan Transmigrasi. Kedua, mengumpulkan data spasial wilayah Provinsi Jawa Barat dari Badan Informasi geospasial (BIG) dan dilanjutkan dengan mengintegrasi data BPS dengan data spasial (peta). Ketiga, melakukan pengamatan geografis untuk mendeteksi prosentase dan sebaran penduduk miskin, menginterpretasi secara spasial sebaran penduduk miskin berdasarkan indikator keterisolasian wilayah dan kesiapan infrastruktur jalan dan dapat disajikan dalam sistem informasi berbasis internet/WebGIS.
Data spasial adalah data yang bereferensi geografis yang merepresentasi obyek-obyek di bumi ke dalam suatu bidang datar. Data spasial berisikan interprestasi dan proyeksi seluruh fenomena alamiah dan buatan manusia yang berada di muka bumi. Data spasial terdapat dua jenis data yaitu tipe vektor dan type raster. Data vektor menginterpreasi obeyek muka bumi berupa titik-titik, garis-garis atau kurva, atau poligon beserta atribut-atributnya, sedangkan model data raster menggunakan struktur matriks atau piksel − piksel yang membentuk grid. Penelitian ini akan manfaatkan kedua model data spasial ini (vektor dan raster) dengan metode analisis : overlay, clip, intersect, buffer, query, union, merge; yang mana akan dipilih ataupun dikombinasikan.
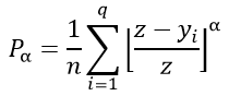
Menurut BPS (2022), dalam mengukur kemiskinan menggunakan konsep kemampuan memenuhi kebutuhan dasar (basic needs approach), dengan pendekatan ini kemiskinan dipandang sebagai ketidakmampuan dari sisi ekonomi untuk memenuhi kebutuhan dasar makanan dan kebutuhan dasar bukan makanan yang diukur dari sisi pengeluaran. Jadi Penduduk Miskin adalah penduduk yang dikategorikan memiliki rata-rata pengeluaran per kapita per bulan di bawah garis kemiskinan. Dalam hal ini Garis Kemiskinan (GK) akan mencerminkan nilai rupiah pengeluaran minimum yang diperlukan seseorang untuk memenuhi kebutuhan pokok hidupnya selama sebulan, baik kebutuhan makanan maupun non-makanan. Dalam penelitian ini memanfaat data hasil Head Count Index (HCI-P0) berupa persentase penduduk yang berada di bawah Garis Kemiskinan (GK) dari BPS, perhitungannya menggunakan rumusan sebagai berikut:
Dimana :
a = 0
z = garis kemiskinan.
yi = Rata-rata pengeluaran per kapita sebulan penduduk yang berada dibawah garis kemiskinan (i=1, 2, 3, ...., q), yi < z
q = Banyaknya penduduk yang berada di bawah garis kemiskinan.
N = jumlah penduduk.
Pola persebaran kemiskinan (BPS, 2021), persentase penduduk miskin kabupaten/kota di Provinsi Jawa Barat memiliki persebaran yang beragam mulai dari kategori rendah (2,6% - 5,3%), sedang (5,3% - 9,7%), dan tinggi (9,7% - 13,1%) dan untuk keperluan spasial pola sebaran disederhanakan klasifikasinya menjadi rendah (0% - 5%), sedang (5% - 10%) dan tinggi (10% - 15%).
Untuk persentase status kemiskinan desa dan kecamatan diklasifikasi (Dyah, Sasmito dan Apriliyani, 2021) sebagai berikut: status tidak miskin 0% - 15%, hampir miskin 15% - 25%, miskin 25% - 30% dan sangat miskin 30% - 100%. Nilai tingkat kemiskinan desa dan kecamatan dihitung menggunakan rumus persentase :
Keterangan:
f : jumlah penduduk miskin desa / kecamatan
N : jumlah penduduk desa / kecamatan.
Jumlah desa dan kelurahan di Indonesia mencapai 74.093 desa, 8.412 kelurahan (Kemendagri, 2015), yang banyak berdampak pada tingkat kemiskinan yang tinggi di wilayah pedesaan. Kondisi ini menjadi penting untuk mengembangankan wilayah pedesaan menjadi lebih maju dengan menggali potensi-potensi yang dimiliki oleh masing-masing desa agar dapat mensejahterakan masyarakatnya. Konsep perkembangan desa dipantau dengan menggunakan Indeks Desa Membangun (IDM) berupa indeks komposit yang dibentuk dari 3 jenis indeks, yakni Indeks Ketahanan Sosial, Indeks Ketahanan Ekonomi dan Indeks Ketahanan Ekologi/Lingkungan. Indeks Desa Membangun (IDM) berfungsi sebagai peta pengembangan pembangunan yang ada di Desa dan dapat dijadikan sebagai acuan dalam melakukan integrasi, afirmasi, dan sinergi pembangunan. Dengan harapan dapat terwujudnya kondisi masyarakat desa yang sejahtera, adil dan mandiri. Untuk mengukur dan mengetahui nilai IDM suatu desa rumus yang digunakan adalah :
IDM = (IKS+IKE+IKL)/3
Dimana :
IDM : Nilai Indeks Desa Membangun
IKS : Nilai Indeks Ketahanan Sosial
IKE : Nilai Indeks Ketahanan Ekonomi
IKL : Nilai Indeks Ketahanan Lingkungan
Jadi komponen yang menjadi penilaian untuk menentukan apakah status desa itu tergolong ke dalam Kategori Desa Mandiri, Maju, Berkembang dan Tertinggal adalah Faktor Ketahanan Sosial, Ketahanan Ekonomi dan Ketahanan Lingkungan.
Menurut Kemendesa PDTT (2023), Indeks Desa Membangun (IDM) ada lima (5) klasifikasi status kemajuan dan kemandirian desa yaitu :
Pengelolaan, pemrosesan dan analisa data spasial bergantung dengan model datanya. Pengelolaan, pemrosesan dan analisa data spasial memanfaatkan pemodelan SIG yang berdasar pada kebutuhan dan analitiknya. Analitik yang berlaku pada pemrosesan data spasial seperti overlay, clip, intersect, buffer, query, union, merge; yang mana dapat dipilih ataupun dikombinasikan.
Pemrosesan data spasial seperti dapat dilakukan dengan teknik yang disebut dengan geoprocessing (ESRI, 2020), pemrosesan tersebut antara lain:
Analisis yang digunakan dalam penelitian ini yaitu analisis deskriptif, digunakan untuk mengetahui gambaran umum secara spasial kemiskinan di Jawa Barat. Analisis inferensia digunakan untuk mengetahui apakah terdapat efek spasial yang memengaruhi kemiskinan di Jawa Barat tahun 2021.
Analisis spasial mempunyai ciri spesifik karena dapat digunakan dalam berbagai bidang kajian, kegiatan analisis spasial menggunakan teknik SIG (Sistem Informasi geografi) yang menggunakan data berdasarkan letak geografis suatu wilayah untuk proses analisis, penyimpanan dan visualisasi. Tujuan penelitian ini adalah untuk mengidentifikasi pola sebaran penduduk miskin di wilayah Provinsi Jawa Barat menggunakan integrasi analisis spasial. Bagan alir penelitian sebagai berikut:
Gambar 1. Metode Penelitian
Overlay atau penampalan adalah salah satu prosedur dalam analisis SIG (Sistem Informasi Geografis), yaitu kemampuan untuk menempatkan grafis satu peta diatas grafis peta yang lain dan memvisualisasikan hasilnya di layar komputer. Overlay menampalkan satu peta pada peta yang lain (minimal 2 peta), beserta atribut-atributnya dan menghasilkan peta gabungan keduanya yang memiliki informasi atribut dari kedua peta tersebut yang akan menghasilkan peta baru. Penilaian spasial dalam penelitian ini dimaksudkan untuk menilai overlay peta kemiskinan dengan peta indeks desa membangun yang akan memberi hasil analisis peta baru yang mencerminkan kondisi sebaran penduduk miskin kekinian.

Gambar 2. Arsitektur WebGIS
Validasi dan analisis spasial kemiskinan dan IDM ditampilkan sebagai peta web yang dikembangkan menggunakan teknik webGIS. Peta web tersebut dibuat memenuhi kaidah kartografi dalam hal simbologi, layout dan penyajian interaktif sehingga peta web akan mudah dibaca dan ditampilkan. Peta web tersebut secara terpisah mempunyai judul, menu dan halaman peta. Judul peta yaitu "PETA SEBARAN PENDUDUK MISKIN DAN INDEKS DESA MEMBANGUN (IDM) PROVINSI JAWA BARAT 2017 - 2023". Menu dikembangkan berupa bar navigasi dengan isi menu yaitu informasi situs, peta dan laporan. Menu peta terdiri dari menu peta kemiskinan dan menu IDM Kabupaten/Kota dan menu IDM Kecamatan. Disamping itu tersedia menu Laporan agar pengguna dapat memperoleh penjelasan mengenai tema maupun teknik yang digunakan.
Halaman peta menampilkan isi peta, skala peta, koordinat mouse dan alat untuk zoom dan pan. Isi peta terdiri dari peta kemiskinan, peta IDM Kabupaten/Kota dan peta IDM Kecamatan dengan rentang waktu dari tahun 2018 sampai dengan tahun 2023. Peta-peta tersebut merupakan peta sebaran dimana informasi kemiskinan disajikan dalam bentuk area dengan nilai tertentu yang disimbolkan dalam bentuk warna sesuai dengan nilainya. Untuk membantu membaca peta, dibuat legenda untuk mengetahui kelas warna yang digunakan dan suatu teknik getfeatureinfo untuk menampilkan atribut dengan cara klik area.
Peta web tersebut dikembangkan menggunakan teknik webGIS berbasis file yang melibatkan perangkat lunak HTML, CSS dan OpenLayers dan data geospasial yang dikemas sebagai file dengan format GeoJSON. Teknik ini dipilih karena tidak memerlukan aplikasi map server, cukup menggunakan web server saja. Dengan menggunakan teknik ini aplikasi kemiskinan dan IDM dapat dihost dalam situs terbuka Netlify. Situs Netlify dasar menerima aplikasi yang dikembangkan dengan perangkat lunak HTML,CSS dan Javascript.
STATUS KEMISKINAN KABUPATEN/KOTA

STATUS IDM KABUPATEN/KOTA

STATUS IDM KECAMATAN

